Thursday, October 31, 2013
8:37 p.m.
An adiabatic process is a process in which a material undergoes a change in its physical state without releasing or extracting any heat from the atmosphere. In other words, dq = 0 in the equation below, where dq = change in thermal energy (this is the first law of thermodynamics, check out my previous post for more info on it).
Because of our hydrostatic balance equation,
, and since we’ve let dq equal 0, we can get the following equation after substitution.
The equation below shows that the temperature decreases 9.8 degrees Celsius or Kelvin (your pick) per kilometer when it is raised at constant pressure without any moisture being released. It inreases at the same rate when it decreases at constant pressure. For a more generalized equation to show what the temperature will be like at any point when risen to a certain height with this process, use the equation below.
But what about using it in terms of pressure?
Well, you substitute from the equation of state, it’s a lot uglier to calculate, and in the interest of time (it’s now 8:57 p.m. Thursday night), I’m not going to do the proof. I doubt we will have to write it out on a 50 minute test. I think the main thing to take away from using it in terms of pressure is that it is more exact than z-coordinate calculation because you are not assuming the parcel is hydrostatic.
Potential Temperature: (because virtual temperature wasn’t good enough)
The potential temperature θ is the temperature of a parcel of air after being brought dry-adiabatically (the process I just described above) to the 1000 mb level. If we know the temperature and pressure of an air parcel, then we know the potential temperature. Here’s the relationship between temperature and pressure if we let K = R_d/c_p =~ 0.286.
T_2 = T_1(p_2/p_1)^K
And here’s the more specific equation for potential temperature.
θ = T(1000mb/p)^K
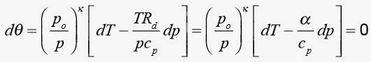
If we take the derivative of θ… i.e., find out its rate of change, we get the equation below, which, just like every other equation in this god-forsaken pdf on thermodynamics, is atrociously ugly. The thing that matters is the term on the far right, though. dθ = 0. How nice. This means that the potential temperature is conserved and does not change as a function of height (provided that it doesn’t exchange any heat with its environment) This is not true for the actual temperature that is measured by thermometers.
Cool. Now let’s add water vapor to the equation. 😉
Charlie





